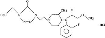
盐酸布芬太尼
C20H29FH6O3·HCl=456.95 CAS-117268-95-8 顺式-(±)-N-[1-[2-(4-乙基-4,5-二氢-5-氧-1H-四唑基)乙基]-3-甲基-4-哌啶基]-N-(2-氟苯基)-2-甲氧基乙酰胺单盐酸盐。 cis-(±)-N-[1-[2-(4-Ethyl-4,5-dihydro-5-oxo-1Htetrazolyl)ethyl]-3-methyl-4-piperidinyl]-N-(2-fluorophenyl)-2-methoxyacetamide,monohydrochloride. (±)-顺式-N-[1-[2-(4-乙基-5-氧-2-四唑啉-1-基)乙基]-3-甲基-4-哌啶基]-2′-氟-2-甲氧基-乙酸苯胺单盐酸盐。 (±)-cis-N-[1-[2-(4-Ethyl-5-oxo-2-tetrazolin-1-yl)ethyl]-3-methyl-4-piperidyl]-2′-fluoro-2-methoxyacetan-ilide monohydrochloride. 镇痛药(麻醉)。 Brifentanil Hydrochloride,A-3331. USAN.  |