网站首页  词典首页


请输入您要查询的字词:

 

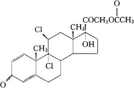
字词 醋酸二氯松
类别 中英文字词句释义及详细解析
释义 醋酸二氯松

C23H28Cl2O5=455.38

CAS-79-61-8

CAS-7008-26-6(dichlon′sone)

9,11β-二氯-17,21-二羟孕甾-1,4-二烯-3,20-二酮21-醋酸酯。

9α,11β-Dichloro-17α,21-dihydroxypregna-1,4-diene-3,20-dione 21-acetate.

肾上腺皮质激素类药。

Dichlorisone Acetate,Diloderm.

INN,USAN,MI.

随便看

 

离鸟网收录3541549条中英文词条,其功能与新华字典、现代汉语词典、牛津高阶英汉词典等各类中英文词典类似,基本涵盖了全部常用中英文字词句的读音、释义及用法,是语言学习和写作的有利工具。

 

Copyright © 2004-2024 vtrois.com All Rights Reserved
更新时间:2026/4/19 4:19:43