醋酸氟轻松[典]
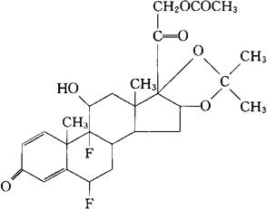
C26H32F2O7=494.53 CAS-356-12-7 (6α,11β,16α)-21-(乙酰氧)-6,9-二氟-11-羟-16,17-[(1-甲基亚乙基)双(氧)]孕甾-1,4-二烯-3,20-二酮。 (6α,11β,16α)-21-(Acetyloxy)-6,9-difluoro-11-hydroxy-16,17-[(1-methylethylidene)bis(oxy)]-pregna-1,4-diene-3,20-dione. 6α,9-二氟-11β,16α,17,21-四羟孕甾-1,4-二烯-3,20-二酮,环与丙酮形成-16,17-乙缩醛-21-醋酸酯。 6α,9-Difluoro-11β,16α,17,21-tetrahydroxypregna1,4-diene-3,20-dione,cyclic-16,17-acetal with acetone 21-acetate. 肾上腺皮质激素类药。用于过敏性皮炎、接触性皮炎、脂溢性皮炎及湿疹等。 醋酸肤轻松,肤轻松醋酸酯,氟轻松醋酸酯。 Fluocinolone Acetonide Acetate,Fluocinonide,Fluoinolide,Lidex,Topsyn, Fluocinolide, NSC101791. 醋酸氟轻松膏(醋酸肤轻松软膏)。 INN,BAN,DCF,DCIT,JAN,NFN,USAN,USP,MI. 
|