网站首页  词典首页


请输入您要查询的字词:

 

字词 醋酸双酚沙丁
类别 中英文字词句释义及详细解析
释义 醋酸双酚沙丁

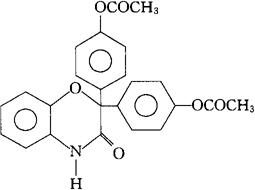
C24H19NO6=417.42

CAS-14008-48-1

CAS-17692-24-9(bisoxafin)

2,2-双-[4-(乙酰氧基)苯基]-2H-1,4-苯并噁嗪-3(4H)-酮。

2,2-bis-[4-(Acetyloxy)phenyl]-2H-1,4-benzoxazin3(4H)-one.

2,2-双(对-羟苯基)-2H-1,4-苯并噁嗪-3(4H)-酮二醋酸酯。

2,2-bis(p-Hydroxyphenyl)-2H-1,4-benzoxazin-3(4H)-one diacetate.

导泻药。

Bisoxatin Acetate,Wy-8138.

INN,BAN,USAN.

随便看

 

离鸟网收录3541549条中英文词条,其功能与新华字典、现代汉语词典、牛津高阶英汉词典等各类中英文词典类似,基本涵盖了全部常用中英文字词句的读音、释义及用法,是语言学习和写作的有利工具。

 

Copyright © 2004-2024 vtrois.com All Rights Reserved
更新时间:2026/4/19 0:07:55