网站首页  词典首页


请输入您要查询的字词:

 

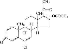
字词 醋酸地马孕酮
类别 中英文字词句释义及详细解析
释义 醋酸地马孕酮

C23H27ClO4=402.92

CAS-13698-49-2

CAS-15262-77-8(delmadinone)

17-(乙酰氧)-6-氯-孕甾-1,4,6-三烯-3,20-二酮。

Pregna-1,4,6-triene-3,20-dione,17-(acetyloxy)-6-chloro-.

6-氯-17-羟孕甾-1,4,6-三烯-3,20-二酮醋酸酯。

6-Chloro-17-hydroxypregna-1,4,6-triene-3,20-dione acetate.

孕激素类药。

Delmadinone Acetate,RS-1301.

INN&BAN(Delmadinone),USAN.

随便看

 

离鸟网收录3541549条中英文词条,其功能与新华字典、现代汉语词典、牛津高阶英汉词典等各类中英文词典类似,基本涵盖了全部常用中英文字词句的读音、释义及用法,是语言学习和写作的有利工具。

 

Copyright © 2004-2024 vtrois.com All Rights Reserved
更新时间:2026/4/18 1:59:20