网站首页  词典首页


请输入您要查询的字词:

 

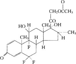
字词 醋酸可米松
类别 中英文字词句释义及详细解析
释义 醋酸可米松

C24H29F3O6=470.48

CAS-35135-67-2

CAS-35135-68-3(cormethasone)

(11β,16α)-21-(乙酰基氧)6,6,9,-三氟-11,17-二羟-16-甲基孕甾-1,4-二烯-3,20-二酮。

(11β,16α)-21-(Acetyloxy)-6,6,9-trifluoro-11,17-dihydroxy-16-methylpregna-1,4-diene-3,20-dione.

6,6,9-三氟-11β,17,21-三羟-16α-甲基孕甾-1,4-二烯-3,20-二酮21-醋酸酯。

6,6,9-Trifluoro-11β,17,21-trihydroxy-16α-methylpregna-1,4-diene-3,20-dione 21-acetate.

肾上腺皮质激素类药。

可美萨松乙酸酯。

Cormethasone Acetate,RS-369R.

INN(Comethasone),USAN.

随便看

 

离鸟网收录3541549条中英文词条,其功能与新华字典、现代汉语词典、牛津高阶英汉词典等各类中英文词典类似,基本涵盖了全部常用中英文字词句的读音、释义及用法,是语言学习和写作的有利工具。

 

Copyright © 2004-2024 vtrois.com All Rights Reserved
更新时间:2026/4/17 23:07:47