网站首页  词典首页


请输入您要查询的字词:

 

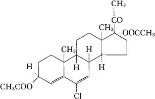
字词 醋酸氯孕酮
类别 中英文字词句释义及详细解析
释义 醋酸氯孕酮

C25H33ClO5=448.99

CAS-3044-32-4

CAS-20047-75-0(clogestone)

(3β)-3,17-双(乙酰氧)-6-氯-孕甾-4,6-二烯-20-酮。

3,17-bis(Acetyloxy)-6-chloro-pregna-4,6-diene-20-one,(3β)-.

6-氯-3β,17-二羟孕甾-4,6-二烯-20-酮二醋酸酯。

6-Chloro-3β,17-dihydroxypregna-4,6-dien-20-onediacetate.

孕激素类药。

醋酸氯底雌酮。

Clogestone Acetate,AY-11,440.

INN & BAN(Clogestone),USAN.

随便看

 

离鸟网收录3541549条中英文词条,其功能与新华字典、现代汉语词典、牛津高阶英汉词典等各类中英文词典类似,基本涵盖了全部常用中英文字词句的读音、释义及用法,是语言学习和写作的有利工具。

 

Copyright © 2004-2024 vtrois.com All Rights Reserved
更新时间:2026/4/18 23:53:45