网站首页  词典首页


请输入您要查询的字词:

 

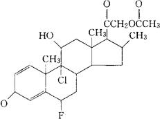
字词 醋酸氯可托龙
类别 中英文字词句释义及详细解析
释义 醋酸氯可托龙

C24H30ClFO5=452.95

CAS-4258-85-9

9-氯-6α-氟-11β,21-二羟-16α-甲基孕甾-1,4-二烯-3,20-二酮21-醋酸酯。

9-Chloro-6α-fluoro-11β,21-dihydroxy-16α-methylpregna-1,4-diene-3,20-dione 21-acetate.

皮质激素类药。

氯可托龙醋酸酯。

Clocortolone Acetate.

INN,DCIT,NFN,USAN,USP,MI.

随便看

 

离鸟网收录3541549条中英文词条,其功能与新华字典、现代汉语词典、牛津高阶英汉词典等各类中英文词典类似,基本涵盖了全部常用中英文字词句的读音、释义及用法,是语言学习和写作的有利工具。

 

Copyright © 2004-2024 vtrois.com All Rights Reserved
更新时间:2026/4/18 18:17:06