网站首页  词典首页


请输入您要查询的字词:

 

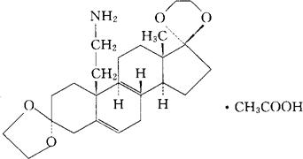
字词 醋酸依地福龙
类别 中英文字词句释义及详细解析
释义 醋酸依地福龙

C24H37NO4·C2H4O2=463.61

CAS-90733-42-9

CAS-90733-40-7(edifolone)

10-(2-氨乙基)-雌甾-3,17-二酮,环双(1,2-乙烷二基乙缩醛)醋酸盐。

10-(2-Aminoethyl)estr-5-ene-3,17-dione,cyclic bis(1,2-ethanediyl acetal)acetate.

10-(氨乙基)雌甾-5-烯-3,17-二酮,环双(乙烯基乙缩醛)醋酸盐。

10-(Aminoethyl)estr-5-ene-3,17-dione,cyclic bis(ethylene acetal)acetate.

抗心律失常药。

Edifolone Acetate,SC-35135.

INN(Edifolone),USAN.

随便看

 

离鸟网收录3541549条中英文词条,其功能与新华字典、现代汉语词典、牛津高阶英汉词典等各类中英文词典类似,基本涵盖了全部常用中英文字词句的读音、释义及用法,是语言学习和写作的有利工具。

 

Copyright © 2004-2024 vtrois.com All Rights Reserved
更新时间:2026/4/18 20:02:33