网站首页  词典首页


请输入您要查询的字词:

 

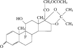
字词 醋酸曲安奈德
类别 中英文字词句释义及详细解析
释义 醋酸曲安奈德

C26H33FO7=476.53

CAS-76-25 5(triamcinolone)

9-氟-11,21-二羟-16,17-[1-甲基亚乙基双(氧)]孕甾-1,4-二烯-3,20二酮21-醋酸酯。

9-Fluoro-11,21-dihydroxy-16,17-[1-methylethylidenebis(oxy)]pregna-1,4-diene-3,20-dione 21-acetate.

9α-氟-11β,16α,17,21四羟孕甾-1,4-二烯-3,20-与丙酮形成环16,17乙缩醛21醋酸酯。

9α-Fluoro-11β,16α,17,21-tetrahydroxypregna-1,4-diene-3,20-dione cyclic 16,17-acetal with acetone21-acetate.

肾上腺皮质激素类药,消炎药。用于创伤性、类风湿性关节炎等胶性疾患,也可用于过敏性、神经性皮炎等皮肤病。

醋酸确炎舒松A,醋酸去炎舒松,醋酸曲安缩松,醋酸去炎松。

Triamcinolone Acetonide Acetate.

醋酸确炎舒松A注射液,醋酸去炎松混悬注射液,醋酸确炎舒松A软膏(醋酸去炎松软膏,醋酸确炎舒松软膏,醋酸曲安缩松软膏)。

MI.

随便看

 

离鸟网收录3541549条中英文词条,其功能与新华字典、现代汉语词典、牛津高阶英汉词典等各类中英文词典类似,基本涵盖了全部常用中英文字词句的读音、释义及用法,是语言学习和写作的有利工具。

 

Copyright © 2004-2024 vtrois.com All Rights Reserved
更新时间:2026/4/18 11:48:34