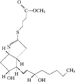
替舒前列素
C20H33NO4S=383.55 CAS-80225-28-1 (±)-4-[[(3aR*4R*,5R*,6aS*)-3,3a,4,5,6,6a六氢-5-羟-4-[(E)(3,S*)-3-羟-1-辛烯基]环戊并[b]吡咯-2-基]硫代]丁酸甲酯。 Methyl(±)-4-[[(3aR*4R*,5R*,6aS*)-3,3a,4,5,6,6a-hexahydro-5-hydroxy-4-[(E)(3,S*)-3-hydroxy-1-octenyl]cyclopenta[b]pyrrol-2-yl]thio]butyrate. 2-氮杂-3-(1-硫杂-4-羧甲基丁基)-6-(3-羟-1-辛烯基)-7-羟基双环[3.3.0]-辛-2-烯。 2-Aza-3-(1-thia-4-carboxymethylbutyl)-6-(3-hydroxy-1-octenyl)-7-hydroxybicyclo[3.3.0]-oct-2-ene. 前列腺素类药,抗高血压药,强心和抗凝药。 Tilsuprost,Hoe892,S 792892 A. INN,USAN.  |