网站首页  词典首页


请输入您要查询的字词:

 

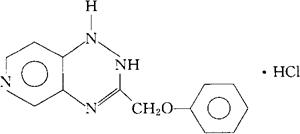
字词 盐酸奥昔芬净
类别 中英文字词句释义及详细解析
释义 盐酸奥昔芬净

C13H11N4O·HCl=276.72

CAS-55242-74-5

CAS-64057-48-3(oxifungin)

1,2-二氢-3-(苯氧甲基)吡啶并[3,4-e]1,2,4-三嗪单盐酸盐。

1,2-Dihydro-3-(phenoxymethyl)pyrido[3,4-e]-1,2,4-triazine,monohydrochloride.

1,2-二氢-3-(苯氧甲基)吡啶并[3,4-e]偏三嗪单盐酸盐。

1,2-Dihydro-3-(phenoxymethyl)pyrido[3,4-e]astriazine monohydrochloride.

抗生素药。

Oxifungin Hydrochloride,EU-3421.

INN(Oxifungin),USAN.

随便看

 

离鸟网收录3541549条中英文词条,其功能与新华字典、现代汉语词典、牛津高阶英汉词典等各类中英文词典类似,基本涵盖了全部常用中英文字词句的读音、释义及用法,是语言学习和写作的有利工具。

 

Copyright © 2004-2024 vtrois.com All Rights Reserved
更新时间:2026/4/18 4:55:45