网站首页  词典首页


请输入您要查询的字词:

 

字词 盐酸头孢噻夫
类别 中英文字词句释义及详细解析
释义 盐酸头孢噻夫

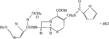
C19H17N5O7S3·HCl=560.01

CAS-103980-44-5

CAS-80370-57-6(ceftiofur)

[6R-[6α,7β(Z)]]-7-[[-(2-氨基-4-噻唑)(甲氧亚氨基)乙酰]氨基]-3-[[(2-呋喃基羧基)硫代]甲基]-8-氧-5-硫杂-1-氮杂双环[4.2.0]-辛-2-烯-2-羧酸单盐酸盐。

[6R-[6α,7β(Z)]]-7-[[(2-Amino-4-thiozolyl)(methoxyimino)acetyl]amino]-3-[[(2-furanylcarbonyl)thio]methyl]-8-oxo-5-thia-1-azabicyclo[4.2.0]oct-2-ene-2-carboxylic acid,monohydrochloride.

(6R,7R)-7-[2-(2-氨基-4-噻唑基)-乙醛酰氨基]-3-(巯甲基)-8-氧代-5-硫杂-1-氮杂双环[4.2.0]辛-2-烯-2-羧酸,72-(Z)-(O-甲基肟)2-糠酸酯,单盐酸盐。(6R,7R)-7-[2-(2-Amino-4-thiazolyl)glyoxylamido]-3-(mercaptomethyl)-8-oxo-5-thia-1-azabicyclo[4.2.0]oct-2-ene-2-carboxylic acid,72-(Z)-(Omethyloxime),2-furoate(ester),monohydrochloride.

抗生素类药。

盐酸头孢替呋。

Ceftiofur Hydrchloride,Excenel,U-64279A.

INN,BAN(Ceftiofur),USAN.

随便看

 

离鸟网收录3541549条中英文词条,其功能与新华字典、现代汉语词典、牛津高阶英汉词典等各类中英文词典类似,基本涵盖了全部常用中英文字词句的读音、释义及用法,是语言学习和写作的有利工具。

 

Copyright © 2004-2024 vtrois.com All Rights Reserved
更新时间:2026/4/19 7:17:53