网站首页  词典首页


请输入您要查询的字词:

 

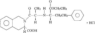
字词 盐酸喹那普利
类别 中英文字词句释义及详细解析
释义 盐酸喹那普利

C25H30N2O5·HCl=474.98

CAS-82586-55-8

CAS-85441-61-8(quinapril)

2-[2-[[1-(乙氧羰基)-3-苯丙基]氨基]-1-氧代丙基]-1,2,3,4-四氢-3-异喹啉羧酸,单盐酸盐[3S-[2[R*,(R*)]3R*]]。

2-[2-[[1-(Ethoxycarbonyl)-3-phenylpropyl]amino]-1-oxopropyl]-1,2,3,4-tetrahydro-3-isoquinolinecarboxylic acid,monohydrochloride,[3S-[2[R*,(R*)]3R*]].

(S)-2[(S)-N-[(S)-1-羧-3-苯丙基]丙氨酰]-1,2,3,4-四氢-3-异喹啉羧酸1-乙酯单盐酸盐。

(S)-2[(S)-N-[(S)-1-Carboxy-3-phenylpropyl]alanyl]-1,2,3,4-tetrahydro-3-isoquinolinecarboxylic acid,1-ethyl ester,monohydrochloride.

抗高血药。

Quinapril Hydrochloride,CI-906,Accupril.

INN & BAN(Quinapril),USAN.

随便看

 

离鸟网收录3541549条中英文词条,其功能与新华字典、现代汉语词典、牛津高阶英汉词典等各类中英文词典类似,基本涵盖了全部常用中英文字词句的读音、释义及用法,是语言学习和写作的有利工具。

 

Copyright © 2004-2024 vtrois.com All Rights Reserved
更新时间:2026/4/18 19:52:57