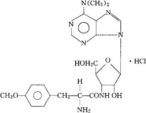
盐酸嘌罗霉素
C22H29N7O5·2HCl=544.44 CAS-58-58-2 CAS-53-79-2(puromycin) (S)-3′-[[2-氨基-3-(4-甲氧苯基)-1-氧代丙基]氨基]-3′-去氧-N,N-二甲基腺苷,盐酸盐。 (S)-3′-[[2-Amino-3-(4-methoxyphenyl)-1-oxopropyl]amino]-3′-deoxy-N,N-dimethyladenosine,hydrochloride, 3′-(L-α-氨基-对-甲氧基氢化肉桂酰胺基)-3′-去氧-N,N-二甲基腺苷二盐酸盐。 3′-(L-α-Amino-p-methoxyhydrocinnamamido)-3′-deoxy-N,N-dimethyladenosine dihydrochloride. 抗肿瘤药,抗原虫药(锥虫属)。 Puromycin Hydrochloride,CL 16,536,NSC-3055. INN(Puromycin),USAN. 
|