盐酸地芬昔米
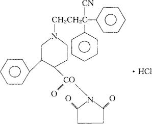
C32H31N3O4·HCl=558.08 CAS-37800-79-6 CAS-47806-92-8(difenoximide) 4-[[(2,5-二氧代-1-吡咯烷基)氧]羰基]-α,α,4-三苯基-1-哌啶丁烷腈,单盐酸盐。 1-Piperldinebutanenitrile,4-[[(2,5-dioxo-1-pyrrolidinyl)oxy]carbonyl]-α,α,4-triphenyl-,monhydrochloride. N-[[1-(3氰基-3,3-二苯丙基)-4-苯基异哌啶甲酰]氧]琥珀酰亚胺单盐酸盐。 N-[[1-(3-Cyano-3,3-diphenylpropyl)-4-phenylisonipecoto-yl]oxy]succinimide monohydrochloride. 止泻药。 Difenoximide Hydrochloride,SC-26100. INN(Difenoximide),USAN. 
|