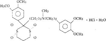
盐酸噻帕米
C26H37NO8S·HCl·H2O=610.18 CAS-87434-83-1 CAS-57010-31-8(tiapamil) 2-(3,4-二甲氧苯基)-N-[2-(3,4-二甲氧苯基)乙基]N-甲基-1,3-二噻烷-2-丙胺,1,1,3,3-四氧化物,盐酸盐,-水化合物。 1,3-Dithiane-2-propanamine,2-(3,4-dimethoxyphenyl)-N-[2-(3,4-dimethoxyphenyl)ethyl]-N-methyl-,1,1,3,3-tetraoxide,hydrochloride,monohydrate. N-(3,4-二甲氧苯乙基)-2-(3,4-二甲氧苯基)-N-甲基-间-二噻烷-2-丙胺1,1,3,3-四氧化物盐酸盐-水化合物。 N-(3,4-Dimethoxyphenethyl)-2-(3,4-dimethoxyphenyl)-N-methyl-m-dithiane-2-propylamine 1,1,3,3-tetraoxide hydrochloride monohydrate. 冠脉扩张药,钙拮抗药。 Tiapamil Hydrochloride,Ro 111781/023. INN & BAN(Tiapamil),USAN.  |