网站首页  词典首页


请输入您要查询的字词:

 

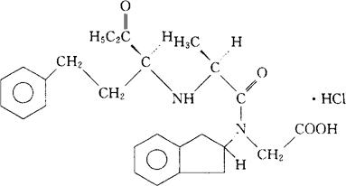
字词 盐酸地拉普利
类别 中英文字词句释义及详细解析
释义 盐酸地拉普利

C26H32N2O5·HCl=489.01

CAS-83435-67-0

CAS-83435-66-9(delapril)

N-(2,3-二氢-1H-茚-2-基)-N-[N-[1-(乙氧羰基)-3-苯丙基]-L-丙氨酰甘氨酸]单盐酸盐,(S)。

Glycine,N-(2,3-dihydro-1H-inden-2-yl)-N-[N-[1-(ethoxycarb-onyl)-3-phenylpropyl]L-alanyl]-,monohydrochloride,(S).

(S)-2-[[(S)-1-[(羧甲基)-2-二氢化茚基氨甲酰]-乙基]氨基]-4-苯丁酸乙酯盐酸盐。

Ethyl(S)-2-[[(S)-1-[(carboxymethyl)-2-indanylcarbamoyl]-ethyl]amino]-4-phenylbutyrate,monohydrochloride.

抗高血压药。

Delapril Hydrochloride,REV 6000A,Adacut.

INN(Delapril),USAN.

随便看

 

离鸟网收录3541549条中英文词条,其功能与新华字典、现代汉语词典、牛津高阶英汉词典等各类中英文词典类似,基本涵盖了全部常用中英文字词句的读音、释义及用法,是语言学习和写作的有利工具。

 

Copyright © 2004-2024 vtrois.com All Rights Reserved
更新时间:2026/4/18 8:20:52