网站首页  词典首页


请输入您要查询的字词:

 

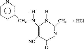
字词 盐酸培力农
类别 中英文字词句释义及详细解析
释义 盐酸培力农

C12H11N5O·HCl=277.71

CAS-89232-84-8

CAS-94386-65-9(pelrinone)

1,4-二氢-2-甲基-4-氧代-6-[(3-吡啶甲基)氨基]-5-嘧啶腈,单盐酸盐。

1,4-Dihydro-2-methyl-4-oxo-6-[(3-pyridinylmethyl)amino]-5-pyrimidinecarbonitrile,monohydrochloride.

强心药。

盐酸吡利酮。

Pelrinone Hydrochloride,Myotrope,AY 28768.

INN(Pelrinone),USAN.

随便看

 

离鸟网收录3541549条中英文词条,其功能与新华字典、现代汉语词典、牛津高阶英汉词典等各类中英文词典类似,基本涵盖了全部常用中英文字词句的读音、释义及用法,是语言学习和写作的有利工具。

 

Copyright © 2004-2024 vtrois.com All Rights Reserved
更新时间:2026/4/18 2:29:09