网站首页  词典首页


请输入您要查询的字词:

 

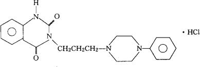
字词 盐酸培兰色林
类别 中英文字词句释义及详细解析
释义 盐酸培兰色林

C21H24N4O2·HCl=400.91

CAS-42877-18-9

CAS-2208-51-7(pelanserin)

3-[3-(4-苯基-1-哌嗪基)丙基]-2,4-(1H,3H)喹唑啉二酮单盐酸盐。

3-[3-(4-Phenyl-1-piperazinyl)propyl]-2,4-(1H,3H)quinazolinedione,monohydrochloride.

5-羟色胺拮抗药,抗高血压药。

Pelanserin Hydrochloride.

INN,USAN.

随便看

 

离鸟网收录3541549条中英文词条,其功能与新华字典、现代汉语词典、牛津高阶英汉词典等各类中英文词典类似,基本涵盖了全部常用中英文字词句的读音、释义及用法,是语言学习和写作的有利工具。

 

Copyright © 2004-2024 vtrois.com All Rights Reserved
更新时间:2026/4/18 12:41:26