网站首页  词典首页


请输入您要查询的字词:

 

字词 阿佐塞米
类别 中英文字词句释义及详细解析
释义 阿佐塞米

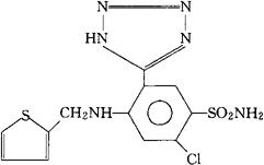
C12H11ClN6O2S2=370.83

CAS-27589-33-9

2-氯-5-(1H-四唑-5-基)-4-[(2-噻吩基甲基)氨基]-苯磺甲基酰胺。

2-Chloro-5-(1H-tetrazol-5-yl)-4-[(2-thienylmethyl)amino]-benzenesuifonamide.

2-氯-5-(1H-四唑-5-基)-N4-2-噻吩磺胺

2-Chloro-5-(1H-tetrazol-5-yl)-N4-2-thenylsulfanilamide.

利尿药。用于治疗心脏、肝脏和肾脏病引起的水肿。

Azosemide

INN,USAN.

随便看

 

离鸟网收录3541549条中英文词条,其功能与新华字典、现代汉语词典、牛津高阶英汉词典等各类中英文词典类似,基本涵盖了全部常用中英文字词句的读音、释义及用法,是语言学习和写作的有利工具。

 

Copyright © 2004-2024 vtrois.com All Rights Reserved
更新时间:2026/4/17 18:51:48