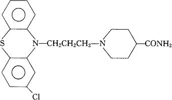
匹哌马嗪
C21H24ClN3OS=401.95 CAS-84-04-8 10-[3-(4-氨基甲酰哌啶基)丙基]-2-氯吩噻嗪。 10-[3-(4-Carbamoyl-piperidino)propyl]-2-chlorophenothiazine. 1-[3-(2-氯-10H-吩噻嗪-10-基)丙基]-4-哌啶羧酰胺。 1-[3-(2-Chloro-10H-phenothiazin-10-yl)propyl]-4-piperidinecarboxaminde. 1-[3-(2-氯吩噻嗪-10-基)丙基]异哌啶羧酰胺。 1-[3-(2-Chlorophenothiazin-10-yl)propyl]isonipecotamide. 镇吐药,安定药。 Pipamazine,Mornidine,Nausidol,Nometine. INN,BAN,USAN,MI. 
|