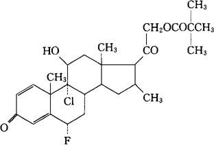
匹戊酸氯可托龙
C27H36ClFO5=495.03 CAS-34097-16-0 (6α,11β,16α)-9-氯-21-(2,2-二甲基-1-氧代丙氧)-6-氟-11-羟-16-甲基孕甾-1,4-二烯-3,20-二酮。 (6α,11β,16)-9-Chloro-21-(2,2-dimethyl-1-oxopropoxy)-6-fluoro-1l-hydroxy-16-methyl-pregna-1,4-diene-3,20-dione. 9-氯-6α-氟-11β,21-二羟-16α-甲基孕甾-1,4-二烯-3,20-二酮21-新戊酸酯。 9-Chloro-6α-fluoro-11β,21-dihydroxy-16α-methylpregna-1,4-diene-3,20-dione 21-pivalate. 肾上腺皮质激素类药,抗炎药,抗过敏药。克罗科托龙匹戊酸酯。 Clocortolone Pivalate,SH 863,CL-68 Cilder,Clocortolone Acetate,Cloderm,Puranty. USAN,USP.  |