网站首页  词典首页


请输入您要查询的字词:

 

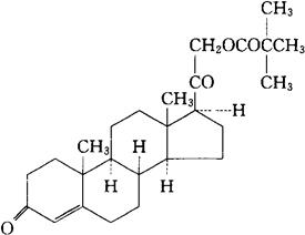
字词 匹伐酸去氧皮质酮
类别 中英文字词句释义及详细解析
释义 匹伐酸去氧皮质酮

C26H38O4=414.58

CAS-808-48-0

21-(2,2-二甲基-1-氧代丙氧基-孕甾-4-烯-3,20-二酮。

Pregn-4-ene-3,20-dione,21-(2,2-dimethyl-1-oxopropoxy).

11-脱氧皮质酮新戊酸酯。

11-Deoxycorticosterone pivalate.

肾上腺皮质激素类药。

去氧皮质酮匹伐酸酯。

Desoxycorticosterone Pivalate,Percorten Pivalate.

BAN(Deoxycortolone Pivalate),USAN,USP.

随便看

 

离鸟网收录3541549条中英文词条,其功能与新华字典、现代汉语词典、牛津高阶英汉词典等各类中英文词典类似,基本涵盖了全部常用中英文字词句的读音、释义及用法,是语言学习和写作的有利工具。

 

Copyright © 2004-2024 vtrois.com All Rights Reserved
更新时间:2026/4/19 3:41:36