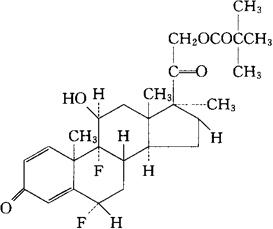
匹伐酸二氟可龙
C27H36F2O5=478.58 CAS-15845-96-2 (6α,11β,16α)-21-(2,2-二甲基-1-氧代丙氧)-6,9-二氟-11-羟-16-甲基-孕甾-1,4-二烯-3,20-二酮。 Pregna-1,4-diene-3,20-dione,21-(2,2-dimethyl-1-oxopropoxy)-6,9-difluoro-11-hydroxy-16-methyl-,(6α,11β,16α)-. 6α,9-二氟-11β,21-二羟-16α-甲基孕甾-1,4-二烯-3,20-二酮21-新戊酸酯。 6α,9-Difluoro-11β,21-dihydroxy-16α-methylpregna1,4-diene-3,20-dione 21-pivalate. 肾上腺皮质激素类药。 匹伐酸双氟可托龙。 Diflucortolone Pivalate,SH 968. NFN,USAN,USP,MI.  |