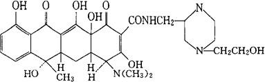
匹哌环素
C29H38N4O9=586.64 CAS-1110-80-1 4-二甲氨基-1,4,4a,5,5a,6,11,12a-八氢-3,6,10,12,12a-五羟-N-[[4-(2-羟乙基)-1-哌嗪基]甲基]-6-甲基-1,11-二氧代-2-并四苯羧酰胺。 4-Dimethylamino-1,4,4a,5,5a,6,11,12a-octahydro3,6,10,12,12a-pentahydroxy-N-[[4-(2-hydroxyethyl)-1-piperazinyl]methyl]-6-methyl-1,11-dioxo2-naphthacene carboxamide. 抗生素类药。 匹哌四环素。 Mepicycline,Pipacgcline,Valtomycin. INN,DCIT,NFN,USAN,MI. 
|