网站首页  词典首页


请输入您要查询的字词:

 

字词 匹可硫酸钠
类别 中英文字词句释义及详细解析
释义 匹可硫酸钠

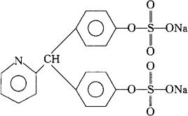
C18H13NNa2O8S2=481.40

CAS-10040-45-6

CAS-10040-34-3(picosulfuric acid)

4,4′-(2-吡啶亚甲基)二酚双(硫酸氢)二钠盐。

4,4′-(2-Pyridylmethylene)diphenol bis(hydrogen sulfate)disoidium salt.

导泻药。用于治疗便秘及外科手术,分娩的结肠排空。

匹可速发。

Picosulfate Sodium,Sodium Picosulfate,Guttalax,Laxidogol,Laxoberal,Picolax,Trali,LA 391,DA 1773.

INN,USAN,MI.

随便看

 

离鸟网收录3541549条中英文词条,其功能与新华字典、现代汉语词典、牛津高阶英汉词典等各类中英文词典类似,基本涵盖了全部常用中英文字词句的读音、释义及用法,是语言学习和写作的有利工具。

 

Copyright © 2004-2024 vtrois.com All Rights Reserved
更新时间:2026/4/17 20:01:41