网站首页  词典首页


请输入您要查询的字词:

 

字词 甲醛
类别 中英文字词句释义及详细解析
释义

甲醛jiǎ quán

一种有机化合物。1932年11月《化学命名原则·有机化学命名原则》第三章:“formaldehyde (methanal),甲醛。”1942年《普通英汉化学词汇》:“Formaldehyde,甲醛。”◇蚁醛,曾经还称“福尔迈台海”,此为英语formaldehyde (甲醛)之音译。

甲醛

一种有机化工产品。无色、可燃、强烈刺激性和窒息性气体。1859年俄国A.M.布特列洛夫首先制得此物。1889年德国首次用甲醇制得甲醛(现在均用甲醇为原料)。甲醛通常以含纯甲醛30%~56%的水溶液生产和销售,其商品名称福尔马林。2001年中国生产甲醛234.4万t。甲醛有50%以上用作生产脲醛、酚醛、聚甲醛等合成树脂,以及聚缩醛等工程塑料(用于汽车和电子工业),30%左右用于合成螯合剂、织物整理剂、胶粘剂、涂料等用的溶剂等。

甲醛

甲醛jiaquan

是无色、有刺激性气味的气体,熔点为-92℃,沸点为-21℃,相对密度为0.815,有凝固蛋白质的作用。甲醛易溶于水,含甲醛40%的水溶液——“福尔马林”在医药和农业上被用做消毒剂。



工业上常用催化氧化法由甲醇制取甲醛:


亦可用天然气控制氧化制取甲醛。
甲醛具有醛的通性,由于其结构特殊——羰基两端均与氢原子相连,又表现出一些特性。
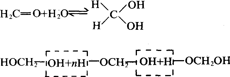
甲醛很容易聚合,在不同条件下生成不同的聚合物:



三聚甲醛


蒸发甲醛水溶液时生成多聚甲醛:



→HOCH2(OCH2)nOCH2OH+(n-1)H2O


当n>100时为无定形固体,不溶于水,受热至180~200℃时,又可分解为甲醛,是气体甲醛的方便来源。
纯甲醛在三正丁胺催化下,可生成线型高分子化合物:


多聚甲醛为一新型热塑性塑料,其机械强度可与金属材料媲美。
甲醛与氨作用可生成环六亚甲基四胺,(CH2)6N4,其商品名为乌洛托品,是易溶于水、有甜味的无色晶体,可用做利尿剂。乌洛托品再经浓硝酸硝化,可得一种烈性炸药——黑索金。
☚ 醛   乙醛 ☛
甲醛

甲醛Jiaquan

结构式,无色有刺激气味的气体,熔点-92℃,沸点-21℃,易溶于水,含甲醛35—50%的水溶液叫福尔马林。甲醛在工业上用甲醇为原料制造。甲醛是重要的化工原料,用于制造塑料、医药、农药。甲醛还可用作消毒剂和防腐剂。用福尔马林浸泡的生物标本可以长期不腐败。


醛类化合物的性质比较活泼,容易发生多种化学反应。
☚ 苯酚   乙酸 ☛

甲醛

formaldehyde

随便看

 

离鸟网收录3541549条中英文词条,其功能与新华字典、现代汉语词典、牛津高阶英汉词典等各类中英文词典类似,基本涵盖了全部常用中英文字词句的读音、释义及用法,是语言学习和写作的有利工具。

 

Copyright © 2004-2024 vtrois.com All Rights Reserved
更新时间:2026/4/20 7:30:15