甲羧除草醚
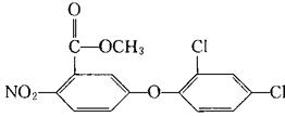
又称治草醚、茅毒。 二苯醚类除草剂。化学名称为:5-(2,4-二氯苯氧基)-2-硝基苯甲酸甲酯。 化学结构式如下。纯品为无臭黄色结晶,熔点84~86℃,30℃时蒸气压为320.0×10-6Pa,几乎不溶于水,可溶于丙酮、氯苯,在碱性中易水解,中性、酸性中稳定不易水解,光解,易被土壤吸附。能被杂草幼芽和叶片吸收,不传导。有光活化作用,在光照条件下才发挥药效。 杂草接触药剂后,表层组织受到破坏,光合作用受到抑制而使杂草死亡。可防治稗草、千金子、蓼、藜、苋、猪毛菜、鸭舌草、慈姑、泽泻、地肤等杂草。 对人、畜低毒,大鼠急性口服LD50>6400mg/kg,兔急性经皮LD50>20000mg/kg,大鼠急性吸入LC50>200mg/L。 
|