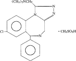
甲磺酸阿地唑仑
C10H22ClN5O3S=447.94 CAS-57938-82-6 CAS-37115-32-5(adinazolam) 8-氯-N,N-二甲基-6-苯基-4H-[1,2,4]三唑[3,4-a][1,4]苯并二氮杂 -1-甲胺单甲烷磺酸盐。 4H-[1,2,4]Triazolo[4,3-a][1,4]benzodiazepine-1-methanamine,8-cholro-N,N-dimethyl-6-phenyl-,monomethanesulfonate-. 8-氯-1-[(二甲氨基)甲基]-6-苯基-4H-s-三唑并[4,3-a][1,4]苯并二氮杂 甲烷磺酸盐。 8-Chloro-1-[(dimethylamino)methyl]-6-phenyl-4Hs-triazolo-[4,3-a][1,4]benzodiazepine monomethanesulfonate. 抗抑郁药,安定药。 甲磺酸阿迪那唑。 Adinazolam Mesylate,Deracyn,U-41,123F.  |