网站首页  词典首页


请输入您要查询的字词:

 

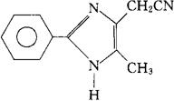
字词 甲芬地尔
类别 中英文字词句释义及详细解析
释义 甲芬地尔

C12H11N3=197.24

CAS-58261-91-9

5-甲基-2-苯基咪唑-4-乙腈。

5-Methyl-2-phenylimidazole-4-acetonitrile.

脑血管扩张药。

Mefenidil.

INN,USAN.

随便看

 

离鸟网收录3541549条中英文词条,其功能与新华字典、现代汉语词典、牛津高阶英汉词典等各类中英文词典类似,基本涵盖了全部常用中英文字词句的读音、释义及用法,是语言学习和写作的有利工具。

 

Copyright © 2004-2024 vtrois.com All Rights Reserved
更新时间:2026/4/17 19:03:55