网站首页  词典首页


请输入您要查询的字词:

 

字词 甲磺酸阿特拉喹
类别 中英文字词句释义及详细解析
释义 甲磺酸阿特拉喹

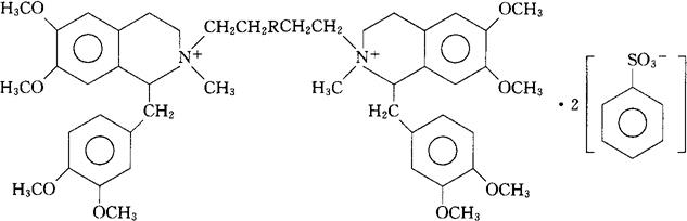
C65H82N2O18S2=1243.49

CAS-64228-81-5

2-(2-羧基乙基)-1,2,3,4-四氢-6,7-二甲氧基-2-甲基-1-[(3,4-二甲氧苯基)甲基]异喹啉鎓苯磺酸盐]亚戊基酯。

[2-(2-Carboxyethyl)-1,2,3,4-tetrahydro-6,7-dimethoxy-2-methye-1-[(3,4-dimethoxyphenyl)methyl]Lsoquinoliniumbenzenesulfonate]pentamethyelene ester.

骨骼肌松驰药。

苯磺酸阿曲库铵。

Atracurium Besilate,Tracurum Atracrvium Besylgeate.

INN,BAN,DCF,DCIT,USAN,MI.

随便看

 

离鸟网收录3541549条中英文词条,其功能与新华字典、现代汉语词典、牛津高阶英汉词典等各类中英文词典类似,基本涵盖了全部常用中英文字词句的读音、释义及用法,是语言学习和写作的有利工具。

 

Copyright © 2004-2024 vtrois.com All Rights Reserved
更新时间:2026/4/17 23:56:16