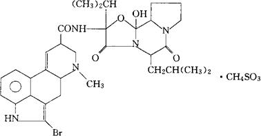
甲磺酸溴隐亭
C32H40BrN5O5·CH4SO3=750.70 CAS-22260-51-1 CAS-25614-03-3(bromocriptine) 2-溴-12′-羟基-2′-(1-甲基乙基)-5′-(2-甲基丙基)-麦角坦-3′,-6′,18-三酮单甲烷磺酸盐,(5′α)。 2-Bromo-12′-hydroxy-2′-(1-methylethyl)-5′-(2-methylpropyl)-ergotaman-3′,-6′,18-trionemonomethanesulfonate(salt),(5′α). 2-溴麦角隐亭单甲磺烷酸盐。 2-Bromoergocryptine monomethanesulfonate(salt). 催乳激素抑制药,多巴胺拮抗药。 Bromocriptine Mesylate,CB-154 Mesylate,Parlodel. 甲磺酸溴隐亭片。 BAN(Bromocriptine),USAN,USP.  |