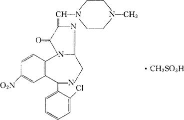
甲磺酸氯普唑仑[中]
C23H21ClN6O3·CH3SO3H=561.01 CAS-61197-73-7 (Z)-6-(邻-氯苯基)-2,4-二氢-2-[(4-甲基-1-哌嗪基)亚甲基]-8-硝基-1H-咪唑并[1,2-a][1,4]苯并二氮杂 -1-酮甲烷磺酸盐。 (Z)-6-(o-Chlorophenyl)-2,4-dihydro-2-[(4-methyl1-piperazinyl)methylene]-8-nitro-1H-imidazo[1,2-a][1,4]benzodiazepin-1-one-methanesulfonate. 催眠药。用于失眠症的短期治疗。 Loprazolam Mesilate,HR 158,RU 31158,Hyprotic,Dormonoct. INN,BAN,USAN,MI. 
|