网站首页  词典首页


请输入您要查询的字词:

 

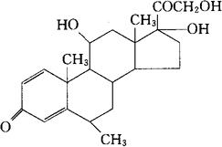
字词 甲泼尼龙
类别 中英文字词句释义及详细解析
释义 甲泼尼龙

C22H30O5=374.48

CAS-83-43-2

11β,17,21-三羟-6α-甲基孕甾-1,4-二烯-3,20-二酮。

11β,17,21-Trihydroxy-6α-methylpregna-1,4-diene3,20-dione.

皮质激素类药。

甲基氢化泼尼松,甲强龙。

Methylprednisolone,Medrol,Dimedrol.

INN,BAN,BP,DCIT,JAN,JP,NF,NFN,USAN,USP,MI.

随便看

 

离鸟网收录3541549条中英文词条,其功能与新华字典、现代汉语词典、牛津高阶英汉词典等各类中英文词典类似,基本涵盖了全部常用中英文字词句的读音、释义及用法,是语言学习和写作的有利工具。

 

Copyright © 2004-2024 vtrois.com All Rights Reserved
更新时间:2026/4/20 21:55:57