网站首页  词典首页


请输入您要查询的字词:

 

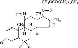
字词 己酸氟可龙
类别 中英文字词句释义及详细解析
释义 己酸氟可龙

C28H39FO5=474.61

CAS-303-40-2

(6α,11β,16α)-6-氟-11,21-二羟-16-甲基-21(1-氧代己基)氧]孕甾-1,4-二烯-3,20-二酮。

(6α,11β,16α)-6-Fluoro-11,21-dihydroxy-16-methyl-21(1-oxohexyl)oxy]pregna-1,4-diene-3,20-dione.

6α-氟-11β,21-二羟基-16α-甲基孕甾-1,4-二烯-3,20-二酮21-己酸酯。

6α-Fluoro-11β,21-dihydroxy-16α-methylpregna-1,4-diene-3,20-dione 21-hexanoate.

肾上腺皮质激素类药,消炎药。

己酸氟可托龙。

Fluocortolone Caproate,SH 770,Ultralen,Fluocortolone Hexanoate.

USAN.

随便看

 

离鸟网收录3541549条中英文词条,其功能与新华字典、现代汉语词典、牛津高阶英汉词典等各类中英文词典类似,基本涵盖了全部常用中英文字词句的读音、释义及用法,是语言学习和写作的有利工具。

 

Copyright © 2004-2024 vtrois.com All Rights Reserved
更新时间:2026/4/19 10:56:07