网站首页  词典首页


请输入您要查询的字词:

 

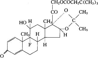
字词 己曲安奈德
类别 中英文字词句释义及详细解析
释义 己曲安奈德

C30H41FO2=532.65

CAS-5611-51-8

(11β,16)-21-(3,3-二甲基-1-氧代丁氧基)-9-氟-11-羟-16,17-[(1-甲基亚乙基)双(氧)]孕甾-1,4-二烯-3,20-二酮。

(11β,16)-21-(3,3-Dimethyl-1-oxobutoxy)-9-fluoro11-hydroxy-16,17-[1-methylethylidene)bis(oxy)]pregna-1,4-diene-3,20-dione.

9-氟-16β,16α,17,21-四羟孕甾-1,4-二烯-3,20二酮与丙酮形成环16,17-乙缩醛21-(3,3-二甲基丁酸酯)。

9-Fluoro-16β,16α,17,21-tetrahydroxypregna-1,4-dione-3,20-dione cyclic 16,17-acetal with acetone 21-(3,3-dimethylbutyrate).

糖皮质激素类药,消炎药。

Triamcinolone Hexacetonide,Aristospan,Fluoxiprednisolone,Hexacetonide,Cl 34433,TATBA.

INN,BAN,USAN,USP.

随便看

 

离鸟网收录3541549条中英文词条,其功能与新华字典、现代汉语词典、牛津高阶英汉词典等各类中英文词典类似,基本涵盖了全部常用中英文字词句的读音、释义及用法,是语言学习和写作的有利工具。

 

Copyright © 2004-2024 vtrois.com All Rights Reserved
更新时间:2026/4/18 20:43:25