网站首页  词典首页


请输入您要查询的字词:

 

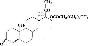
字词 己酸羟孕酮[典]
类别 中英文字词句释义及详细解析
释义 己酸羟孕酮[典]

C27H40O4=428.61

CAS 630-56-8

17α-羟孕甾-4-烯-3,20-二酮己酸酯。

17α-Hydroxypregn-4-ene-3,20-dione hexanoate.

孕激素类药。用于月经不调,子宫功能性出血,子宫内膜异位等。

己酸羟孕酮,长效黄体酮。

Hydroxyprogesterone Caproate,Delalutin,Pharlon,Teralutil.

己酸孕酮注射液,复方己酸孕酮注射液。

BP,USAN,USP,MI.

随便看

 

离鸟网收录3541549条中英文词条,其功能与新华字典、现代汉语词典、牛津高阶英汉词典等各类中英文词典类似,基本涵盖了全部常用中英文字词句的读音、释义及用法,是语言学习和写作的有利工具。

 

Copyright © 2004-2024 vtrois.com All Rights Reserved
更新时间:2026/4/17 20:20:43