网站首页  词典首页


请输入您要查询的字词:

 

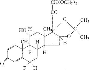
字词 氟莫奈德
类别 中英文字词句释义及详细解析
释义 氟莫奈德

C26H34F2O7=496.55

CAS-60135-22-0

(6α,11β,16α)-6,9-二氟-11-羟-21,21-二甲氧-16,17-[(1-甲基亚乙基)双(氧)]-孕甾-1,4-二烯-3,20-二酮。

(6α,11β,16α)-6,9-Difluoro-11-hydroxy-21,21dimethoxy-16,17-[(1-methylethylidene)bis(oxy)]-pregna-1,4-diene-3,20-dione.

6α,9-二氟-11β,16α,17-三羟-3,20-二氧代孕甾-1,4-二烯-21-醛21-(二甲乙缩醛)与丙酮形成环16,17-乙缩醛。

6α,9-Difluoro-11β,16α,17-trihydroxy-3,20-dioxopregna-1,4-dien-21-al 21-(dimethyl acetal)cyclic 16,17-acetal with acetone.

肾上腺皮质激素类药,消炎药。

Flumoxonide,RS-40584.

INN,USAN.

随便看

 

离鸟网收录3541549条中英文词条,其功能与新华字典、现代汉语词典、牛津高阶英汉词典等各类中英文词典类似,基本涵盖了全部常用中英文字词句的读音、释义及用法,是语言学习和写作的有利工具。

 

Copyright © 2004-2024 vtrois.com All Rights Reserved
更新时间:2026/4/17 22:25:00