网站首页  词典首页


请输入您要查询的字词:

 

字词 非线性盈亏分析模型
类别 中英文字词句释义及详细解析
释义 非线性盈亏分析模型

描述产品的总销售收入和总变动成本在不随著其产销数量增减同比例变动的条件下,存在于各盈亏分析因素之间非线性关系的数学表达式。

设某种产品的单位销售价格为S=S1-S2Q,单位变动成本为V=V1+V2Q,固定成本为F,则总销售收入和总变动成本与固定成本同产销数量Q之间为二次曲线关系。计算如下:

QS=(S1-S2Q)Q=S1Q-S2Q2

QV+F=(V1+V2Q)Q+F=V1Q+V2Q2+F

则在盈亏平衡点的产销数量Q*应满足下列方程:

S1Q-S2Q2-V1Q-V2Q2-F=0

移项得

-(S2+V2)Q2+(S1-V1)Q-F=0

这是一个一元二次方程,有两个根,分别称为第一个盈亏平衡点和第二个盈亏平衡点如下图所示:

当产销数量Q小于或大于时为亏损,当时为盈利。

之间为盈利区。

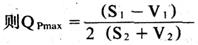
为求最大盈利时的产销数量QPmax,令,

P=-(S2+V2)Q2+(S1-V1)Q-F

P′=-2(S2+V2)Q+(S1-V1)=0

Pmax=-(S2+V2)Qpmax+(Si-Vj)QPmaxx-F

随便看

 

离鸟网收录3541549条中英文词条,其功能与新华字典、现代汉语词典、牛津高阶英汉词典等各类中英文词典类似,基本涵盖了全部常用中英文字词句的读音、释义及用法,是语言学习和写作的有利工具。

 

Copyright © 2004-2024 vtrois.com All Rights Reserved
更新时间:2026/4/19 13:31:34