网站首页  词典首页


请输入您要查询的字词:

 

字词 非线性回归预测法
类别 中英文字词句释义及详细解析
释义 非线性回归预测法

亦称“曲线式最小平方法”,即运用最小二乘法,求出倾向变动曲线,作为外推依据来进行预测。

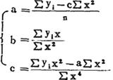
倾向变动曲线方程一般为:

Y=a+bx+cx2

通常用下式求解上式中的a、b、c数值。

有时非线性回归分析可用变量置换办法,把非线性问题转化成线性问题来求解。

例:盛钢水的钢包,在使用过程中,由于钢水的侵蚀,容积不断增大,其使用次数X与钢包容积增大量Y之间的数据如表所示。现要求找出次数X与容积增大量Y之间的关系,并建立预测模型。

从上表可看到,最初容积增大较快,以后逐渐减慢。当然钢包容积不会无限增大,即曲线必有一条平行于X轴的渐近线,选双曲线:为拟合曲线。

并令

因此可用线性回归类方法求出a和b的值(详见“线性回归分析预测法”)。

计算结果为:a=0.0823b=0.1315

回归方程为:y′=0.0823+0.1315x′

标准离差

按表作散布图如下:

随便看

 

离鸟网收录3541549条中英文词条,其功能与新华字典、现代汉语词典、牛津高阶英汉词典等各类中英文词典类似,基本涵盖了全部常用中英文字词句的读音、释义及用法,是语言学习和写作的有利工具。

 

Copyright © 2004-2024 vtrois.com All Rights Reserved
更新时间:2026/4/20 9:01:39