扩展的线性支出系统
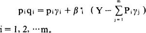
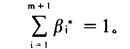
西方经济学中一种研究消费支出的经济模型。 它是把储蓄引入LES模型(线性支出系统)发展而成的。这一模型把消费支出看作可支配收入和价格的随机函数,其具体模型是:  在上式中,P,q,γ及其下标的含义与线性支出系统一致,而Y是人均可支配收入; j是支付基本消费需求后余下的可支配收入,它将按γi*(i=1,2,…,m)的份额分别追加到m类消费中;β*叫做对第i类消费的边际消费倾向,且有:  把储蓄S(S=Y-V,V是消费总支出)引入模型,看成是第m+1种“消费”,并令 为边际储蓄倾向,则有:  这个模型ELES的最大优点在于当缺少价格数据时,仍能估算出参数βi*和Piγi(作为一个参数整体),而且可以由此估计出LES模型的参数,计算出价格弹性来。 〔参〕 线性支出系统 |