网站首页  词典首页


请输入您要查询的字词:

 

字词 选矿金属回收率
类别 中英文字词句释义及详细解析
释义 选矿金属回收率

指选出的合格精矿金属量占处理原矿金属量的百分比。

它反映选矿过程中金属回收程度、选矿技术水平和选矿工作质量的指标。实际回收率计算公式为:

实际回收率是指选矿厂从处理原矿到选出合格精矿,全部选矿过程的总回收率。计算选矿回收率时,不包括综合利用副产品回收部分。

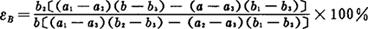
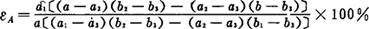
凡有两种或两种以上选矿产品在计算理论回收率时应从原矿开始按行列式法进行计算。其计算公式为:

第一种理论回收率(εA)

第二种理论回收率(εB)

产品理论回收率计算公式符号

有色金属理论回收率的计算与此相同。

随便看

 

离鸟网收录3541549条中英文词条,其功能与新华字典、现代汉语词典、牛津高阶英汉词典等各类中英文词典类似,基本涵盖了全部常用中英文字词句的读音、释义及用法,是语言学习和写作的有利工具。

 

Copyright © 2004-2024 vtrois.com All Rights Reserved
更新时间:2026/4/20 21:50:01