奥沙美辛
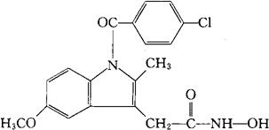
C19H17ClN2O4=372.81 CAS-27035-30-9 1-(对-氯苯甲酰)-5-甲氧-2-甲基吲哚-3-乙酰异羟肟酸。 1-(p-Chlorobenzoyl)-5-methoxy-2-methylindole-3-acetohydroxamic acid. 1-(4-氯苯甲酰)-N-羟-5-甲氧-2-甲基-1H-吲哚-3-乙酰胺。 1-(4-Chlorobenzoyl)-N-hydroxy-5-methoxy-2-methyl-1H-indole-3-acetamide. 消炎镇痛药。 吲哚克塞米酸。 Oxametacin,IndoxamicAcid,Dinulcid,Flogar,Restid,ABC 8/3. INN,USAN,MI.  |