网站首页  词典首页


请输入您要查询的字词:

 

字词 跨时预算约束
类别 中英文字词句释义及详细解析
释义

跨时预算约束


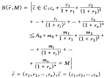
预算约束的一种。在不存在流动性约束的情况下,消费者在多个时期的消费的现值(或终值)和所受到的多个时期的收入现值(或终值)的限制。跨时预算集可表述为:

其中,C是消费支出集,ri是第i期利率或时间折现率,ci是第i期消费支出,A0是初始资产。mi(i=0,1,2,…,n)是第i期的收入,当n→+∞时,称为代际预算约束,说明不同代人之间可以进行借贷或遗赠及赡养行为。这可以用来说明一个家族在无限的时间序列中所受到的预算约束。

跨时预算约束使消费者的消费不必受到当期收入的制约,可以在整个生命周期内恰当地安排各期的消费,大大提高了消费者的效用水平。当经济中存在流动性约束时,消费者的消费将受到当期收入的强有力的制约,当期消费会对当期收入的波动过度敏感,这也是经济波动加剧的因素之一,未来的不确定性会使预期利率和预期收入变得不确定,跨时预算约束也就难以发挥作用。

〖参〗流动性约束

跨时预算约束条件下的消费者选择

交叠世代模型

随便看

 

离鸟网收录3541549条中英文词条,其功能与新华字典、现代汉语词典、牛津高阶英汉词典等各类中英文词典类似,基本涵盖了全部常用中英文字词句的读音、释义及用法,是语言学习和写作的有利工具。

 

Copyright © 2004-2024 vtrois.com All Rights Reserved
更新时间:2026/4/19 20:39:06