在跨时预算约束下,为使整个生命周期内的效用最大,消费者对现期消费和未来消费的最佳路径的选择。
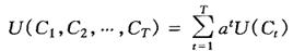
这里,即期消费选择理论的方法可以用来描述跨时选择问题。选择的对象一消费束,将变成时间坐标上的消费流。偏好也变成跨时偏好(Intertemporal Preference),但满足通常的正则条件,一般来说,存在效用函数来表示这种偏好。为了简化问题起见,跨时效用函数通常被假设满足时间上的可加性,即:

其中Ct是第T期消费,at是时间折现因子。可见可加性效用函数将跨时选择问题由时间一动态形式转换为时间-静态形式,这样就可以把多时期最优化问题,分解为两时期最优化问题来求解,这称之为动态规划(Dynamic Programming)方法。
按时期多少可将跨时选择问题分为两时期预算约束下的消费者选择、多时期预算约束下的消费者选择和无限时期预算约束下的消费者选择(或称交叠世代模型)。
按信息环境,可将跨时选择问题分为确定条件跨时预算约束下的消费者选择和风险条件跨时预算约束下的消费选择。