头孢哌酮[中]
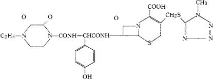
C25H27N9O8S2=645.66 CAS-62893-19-0 (6R,7R)-7-[(R)-2-(4-乙基-2,3-二氧代-1-哌嗪甲酰胺基)-2-(对-羟苯基)乙酰胺基]-3-[[(1-甲基-1H四唑-5-基)硫代]甲基]-8-氧代-5-硫杂-1-氮杂双环[4.2.0]辛-2-烯-2-羧酸。 (6R,7R)-7-[(R)-2-(4-Ethyl-2,3-dioxo-1-piperazine carboxamide)-2-(p-hydroxyphenyl)acetamido]-3-[[(1-methyl-1H-tetrazol-5-yl)thio]methyl]-8-oxo-5-thia-1-azabicyclo[4.2.0]oct-2-ene-2-carboxylic acid. 抗生素类药。用于由敏感菌引起的败血症、胆囊炎、胆管炎、腹膜炎、腹腔内感染、呼吸道、尿路、皮肤软组织及妇产科感染等。 头孢氧哌羟苯唑,氧哌羟苯唑头孢菌素。 Cefoperazone. 注射用头孢哌酮。 INN,BAN,DCF,DCIT,USAN,USP,MI. 
|