网站首页  词典首页


请输入您要查询的字词:

 

字词 预测绝对误差
类别 中英文字词句释义及详细解析
释义 预测绝对误差

指预测值与实际值之差的绝对值。

可用下式表示:

式中 a——预测的绝对误差;

V——实际值;

F——预测值;

t——预测时期;

n——预测期数。

为了衡量预测的精确度,需要计算出预测误差。

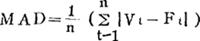
时间序列预测时,人们通常采用平均绝对误差(MAD)和平均平方误差(MSE)作为评价预测精度的标准。

平均绝对误差就是各期绝对误差平方和的平均值。

用公式表示:

平均平方误差就是各期绝对误差平方和的平均值。用公式表示:

回归预测时,人们常采用标准偏差S作为评价预测精度的标准。

式中 r-自由度数。在只有一个变量的常数预测中,r=1;在有两个变量的线性预测中,r=n-2。

随便看

 

离鸟网收录3541549条中英文词条,其功能与新华字典、现代汉语词典、牛津高阶英汉词典等各类中英文词典类似,基本涵盖了全部常用中英文字词句的读音、释义及用法,是语言学习和写作的有利工具。

 

Copyright © 2004-2024 vtrois.com All Rights Reserved
更新时间:2026/4/18 13:41:22