预测算术平均法
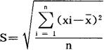
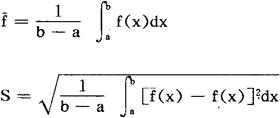
通过求算术平均数进行预测。 算术平均数是部分数据或全部数据之和除以求和时所使用的数据的个数所得之商。设X1,X2,…,Xn为n个拟求算术平均数的数据,则算术平均值 为:  由于求平均数的数据或观测值之均匀程度,每组数据通常不同,故所求得的算术平均数不能指示这种均匀程度的大小。通常用标准差来表示数据的均匀程度,即  标准差S具有以下性质: (1)S为不小零的数,即S≥0; (2)当S=0时,X1=X2=…=Xn=X,此种情况表示该组数据具备完全均匀的性质; (3)S值越大,则表示该组数据的均匀程度越劣。 当给定的数据是一种函数f(x)时,则求(a,b)区间内算术平均数f与标准差S的公式分别为  利用平均数,能说明总体的某一数量标志值在时间上的变化,从而说明现象的发展趋势。通过求算术平均数,对现象的变化发展可以作出预测。 |