网站首页  词典首页


请输入您要查询的字词:

 

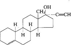
字词 去氧炔诺酮
类别 中英文字词句释义及详细解析
释义 去氧炔诺酮

C20H28O=284.44

CAS-52-76-6

19-去甲基-17α-孕甾-4-烯-20-炔-17-醇。

19-Nor-17α-pregn-4-en-20-yn-17-ol.

孕激素类药。

利奈孕醇。

Lynestrenol,Ethinylestrenol,Orgametil.

INN,BAN,BP,DCF,DCIT,JAN,USAN,MI.

随便看

 

离鸟网收录3541549条中英文词条,其功能与新华字典、现代汉语词典、牛津高阶英汉词典等各类中英文词典类似,基本涵盖了全部常用中英文字词句的读音、释义及用法,是语言学习和写作的有利工具。

 

Copyright © 2004-2024 vtrois.com All Rights Reserved
更新时间:2026/4/17 17:09:35